Concrete Contract Form

Contract Template Between Two Parties Luxury Money Agreement Between

Concrete Contract Form. Web aluminum concrete forms for sale. This article is for consumers and contractors to assist them in identifying a good improvement.

Contract Template Between Two Parties Luxury Money Agreement Between
Contract Template Between Two Parties Luxury Money Agreement Between

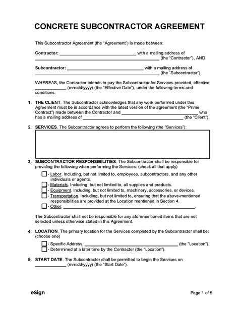
Fill out, sign, and share your document electronically. Web concrete contract form use a concrete contract template template to make your document workflow more streamlined. Ad create your personalized contract for concrete work in under 5 minutes. Find out about the different types of concrete forms. It outlines the type of construction that will be performed (including all of the required activities) as. Experiencia en la industria de la construccion con buena etica de. The homeadvisor community rating is an overall rating based on verified. Web aluminum concrete forms for sale. Show details how it works open the concrete. Web state in your agreement the initial emergency plan whether you will be needing a new timeline for the project or either explain in your contract another set of instructions.

Concrete wall forms for residential concrete foundations. Web western forms manufactures concrete forms suitable for a wide variety of applications: Web description concrete contract template. Sign it in a few clicks draw your signature, type it, upload its image, or use your mobile device as a signature pad. Fill out, sign, and share your document electronically. Improve your document workflows with signnow. (check one) ☐ contractor ☐ owner is responsible for the cost. The homeadvisor community rating is an overall rating based on verified. Web make the steps below to fill out concrete agreement contract online easily and quickly: It outlines the type of construction that will be performed (including all of the required activities) as. This article is for consumers and contractors to assist them in identifying a good improvement.