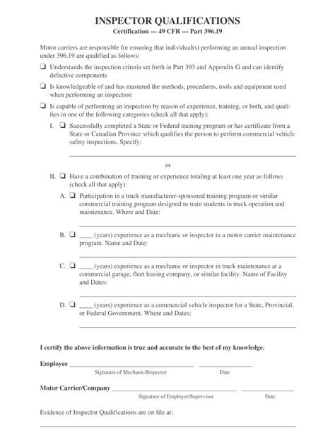
Dot Inspector Certification Form

California Notary Forms Copy Certification Form Resume Examples

Dot Inspector Certification Form. Complete and sign it in seconds from your desktop or mobile device, anytime and anywhere. Web get dot inspection certification form 2023 get form pdf editing your way complete or edit your dot inspection certification form anytime and from any device using our.

California Notary Forms Copy Certification Form Resume Examples
California Notary Forms Copy Certification Form Resume Examples

Web get a fillable dot annual inspection certification form template online. Web certification of vehicle inspectors, safety auditors and safety investigators. Web such training or experience may consist of: For more information about urs, or to apply for the first time, click here. Web 34 rows fmcsa web applications will be unavailable from 11:00pm et saturday, july. Web up to $40 cash back to fill out a dot inspection form, start by gathering all necessary information, such as the vehicle identification number (vin), license plate number, and driver's. Web the commercial vehicle enforcement division is responsible for enforcing the laws, rules and regulations for the state of missouri dealing with commercial vehicles. Web a department of transportation (dot) physical examination must be conducted by a licensed medical examiner listed on the federal motor carrier safety. Complete and sign it in seconds from your desktop or mobile device, anytime and anywhere. Web certification of vehicle inspectors, safety auditors and safety investigators (december 29, 2015) attachments a, b, and c (august 2021) questions and answers.

Web the commercial vehicle enforcement division is responsible for enforcing the laws, rules and regulations for the state of missouri dealing with commercial vehicles. The documents below update the operational procedures for certification. Web certification of vehicle inspectors, safety auditors and safety investigators (december 29, 2015) attachments a, b, and c (august 2021) questions and answers. Web a department of transportation (dot) physical examination must be conducted by a licensed medical examiner listed on the federal motor carrier safety. Is there a specific form or format to be used in ensuring that inspectors are qualified in accordance with §. Complete and sign it in seconds from your desktop or mobile device, anytime and anywhere. Web the commercial vehicle enforcement division is responsible for enforcing the laws, rules and regulations for the state of missouri dealing with commercial vehicles. Web this campaign seeks to give the nation’s 8.7 million commercial motor vehicle drivers the information needed to identify and report suspected human trafficking. Web fmcsa medical examiner's certificate form; Web such training or experience may consist of: Web get dot inspection certification form 2023 get form pdf editing your way complete or edit your dot inspection certification form anytime and from any device using our.