Last Will And Testament Form Pdf

Sample Last Will And Testament Form 9+ Free , Examples , Format

Last Will And Testament Form Pdf. Web in the event that any of my beneficiaries predeceases me, then i bequeath all my remaining estate, whether real, personal, or mixed, notwithstanding its nature or wherever it is situated at the time of my demise, be divided equally among the remaining beneficiaries. Declarations i am of sound mind and of legal age to make this last will.

Sample Last Will And Testament Form 9+ Free , Examples , Format
Sample Last Will And Testament Form 9+ Free , Examples , Format

Outline beneficiaries, assets, and important information. A last will and testament or will is a legal document that records how an individual (testator) chooses to distribute property, care for children, and make special wishes after their death. Declarations i am of sound mind and of legal age to make this last will. Assets and property for distribution may include businesses, digital assets, real estate, personal property, life. A washington last will and testament is a legal document that allows a “testator,” the creator of the will, to set forth instructions for the distribution of their estate upon death. A last will and testament is a legal document outlining your wishes for how your property and affairs are handled when you pass away and how you wish your funeral to be conducted. Create a last will with our simple will template to be in charge of how your family and possessions are cared for after you pass on. Above is no longer in my possession or part of my estate, then the bequest of such property shall be deemed null and void and shall no longer form part of this will and testament. It is also commonly called a “will” or “last will.”. Web updated april 5, 2023 | legally reviewed by susan chai, esq.

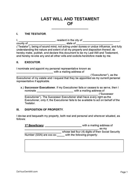
Web last will and testament of _____ i, _____, resident in the city of _____, county of _____, state of _____, being of sound mind, not acting under duress or undue influence, and fully understanding the nature and extent of all my property and of this disposition thereof, do hereby make, publish, and declare this document to be my last will and. A washington last will and testament is a legal document that allows a “testator,” the creator of the will, to set forth instructions for the distribution of their estate upon death. A last will and testament or will is a legal document that records how an individual (testator) chooses to distribute property, care for children, and make special wishes after their death. A texas last will and testament is a legal document that outlines the final directives of a testator (person to whom the will belongs) as to the distribution of their estate among beneficiaries upon death. Web if at the time of my death any of the property described in 4.1. Create a last will with our simple will template to be in charge of how your family and possessions are cared for after you pass on. Declarations i am of sound mind and of legal age to make this last will. A last will and testament is a legal document outlining your wishes for how your property and affairs are handled when you pass away and how you wish your funeral to be conducted. Outline beneficiaries, assets, and important information. It is also commonly called a “will” or “last will.”. Web in the event that any of my beneficiaries predeceases me, then i bequeath all my remaining estate, whether real, personal, or mixed, notwithstanding its nature or wherever it is situated at the time of my demise, be divided equally among the remaining beneficiaries.