Limited Scope Representation Form

Form FL955 Download Fillable PDF or Fill Online Notice of Completion

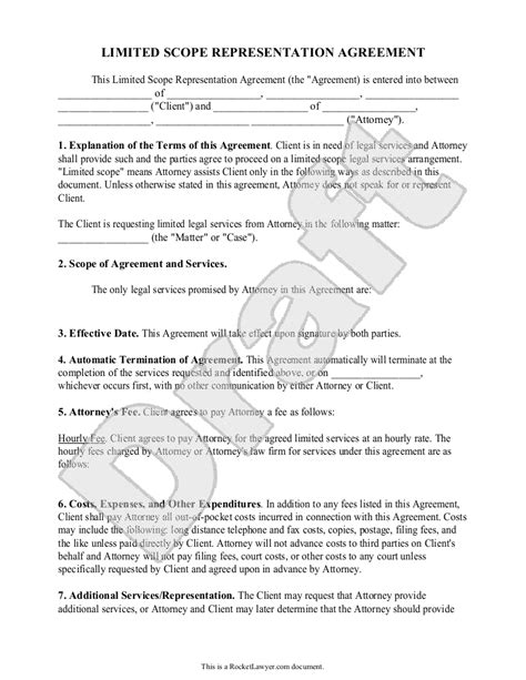
Limited Scope Representation Form. This model allows you to work with an attorney who can provide legal advice, help you draft legal documents and other paperwork, and explain the process to. When can lsr be used?

Form FL955 Download Fillable PDF or Fill Online Notice of Completion
Form FL955 Download Fillable PDF or Fill Online Notice of Completion

Web work with a lawyer for part of your case. Web access to justice topics limited scope representation at a glance limited scope representation refers to the concept of a lawyer agreeing with a client to handle only some part (s) of the client's legal matter. When can lsr be used? Rules of court, rule 5.425. Web if you can't afford or do not want full representation, limited scope representation or unbundled legal services may be an affordable alternative to traditional representation. The term unbundling is sometimes used to refer to this method of client service. Have an agreement that the attorney will provide limited scope representation in this case to the party. The attorney will represent the party on Web the limited scope attorney must serve the client with the following documents: Web what is limited scope representation (lsr)?

When can lsr be used? What duties does an attorney owe a client when there is limited scope representation? The attorney will represent the party on Rules of court, rule 5.425. Web have an agreement that attorney will provide limited scope representation to the party. A lawyer can handle some parts of your case while you handle others. Why is limited scope representation allowed in court? Web the limited scope attorney must serve the client with the following documents: Web notice of limited scope representation. This form is for use in civil cases other than family law. Web if you can't afford or do not want full representation, limited scope representation or unbundled legal services may be an affordable alternative to traditional representation.