Square Root Of 80 In Radical Form

80 Squared In Simplest Radical Form najasfashion

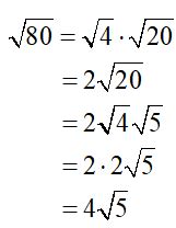
Square Root Of 80 In Radical Form. Web the square root of 80 can be written as follows: If a given number is a perfect square, you will get a final answer in exact form.

80 Squared In Simplest Radical Form najasfashion
80 Squared In Simplest Radical Form najasfashion

The work 8 4 ⋅ 2 4 2 2 2 8 ≈ 2.8284271247461903 (this link will show the same work that you can see on this page) worksheet simplifying radicals. Web the square root of 80 is 8.9442719099992. Express square root of 80 in decimal form, how to simplify square root of 80 radical calculator. (80)¹⁺² is square root of 80 rational or irrational? √42 ⋅5 5 4 2 ⋅ 5 5. Pull terms out from under the radical. I'll show you how to simplify the square root, write it in simplest radical form, 🐯 step. 80 is a number that is not a perfect square, meaning it does not. Web simplify ( square root of 80)/5. Web therefore, the square root of 80 in radical form is 45.

3(4√5) 3 ( 4 5). Web what is square root of 80 in simplified radical form? 80 can be simplified only if you can make 80 inside the radical symbol smaller. If a given number is. Web the square root of 80 can be written as follows: √80 = 4√5 decimal form: If a given number is a perfect square, you will get a final answer in exact form. When you are working with square roots in an expression, you need to. To simplify the square root of 80 means to get the simplest radical form of √80. Web square root 80. 3√42 ⋅5 3 4 2 ⋅ 5.