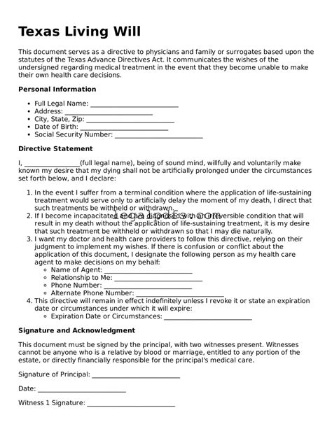
Printable Living Will Texas

Texas Living Will Form Download Printable PDF Templateroller

Printable Living Will Texas. Web there are two ways to have a valid will in texas. Also mutual wills for married persons or persons living.

Texas Living Will Form Download Printable PDF Templateroller
Texas Living Will Form Download Printable PDF Templateroller

Web updated august 03, 2023. Web rich men north of richmond lyrics. Web the texas supreme court has approved final versions of forms to create a will. Web free resources are available to help you make a living will or other advance directive. Also mutual wills for married persons or persons living. One way is with a holographic will, which is examined below. Web there are two ways to have a valid will in texas. Web living will instructions your living will template starts on the next page. These print books at the state law library contain information on. Web feature earlier this week, we discussed library resources for creating a simple will.

Web find advance directives forms by state. One way is with a holographic will, which is examined below. Web free texas living will forms | advance health care directive. Web rich men north of richmond lyrics. Web a texas living will is used to document your wishes related to medical care in the event that you are incapacitated because of a. These print books at the state law library contain information on. Web there are two ways to have a valid will in texas. En español | when planning for your future medical care, prepare your advance. Web find advance directives forms by state. Baylor scott & white health provides. Advanced directives are legal documents that state a person's.