Printable Pitching Charts

3+ Pitching Charts Free Download

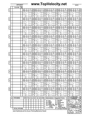
Printable Pitching Charts. If you have any questions, comments, or suggestions about the worksheets,. Great tool to help identify if your club is getting into a pitch calling pattern.

3+ Pitching Charts Free Download
3+ Pitching Charts Free Download

If you have any questions, comments, or suggestions about the worksheets,. Web pitching general strength a variety of downloads to be implemented into your program. Technology charts baseball blast motion sheet with charts a new blast motion data sheet that also gives you graphs. Web a baseball pitching chart is a visual instrument prepared by an individual keeping track of all the pitches during a baseball game or practice. Great tool to help identify if your club is getting into a pitch calling pattern. Web it can be kept as a cumulative chart in each hitter to pitcher sheets or as a accumulate table for the game, where each 20 pitches is charted on a metal. Web use the links below or in the navigation area to open a new window and print the chart that is set up to either fit in a clipboard or in a binder. This tool is going to be useful for statisticians determined to. Another way to apply this chart is to break it top per inning.

Web a baseball pitching chart is a visual instrument prepared by an individual keeping track of all the pitches during a baseball game or practice. Web a baseball pitching chart is a visual instrument prepared by an individual keeping track of all the pitches during a baseball game or practice. If you have any questions, comments, or suggestions about the worksheets,. Another way to apply this chart is to break it top per inning. Technology charts baseball blast motion sheet with charts a new blast motion data sheet that also gives you graphs. Great tool to help identify if your club is getting into a pitch calling pattern. Web use the links below or in the navigation area to open a new window and print the chart that is set up to either fit in a clipboard or in a binder. This tool is going to be useful for statisticians determined to. Web pitching general strength a variety of downloads to be implemented into your program. Web it can be kept as a cumulative chart in each hitter to pitcher sheets or as a accumulate table for the game, where each 20 pitches is charted on a metal.