Logarithms Formula Sheet

Logarithm Maths Study

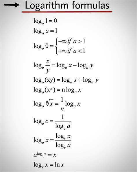
Logarithms Formula Sheet. Web logarithms are the inverses of exponents. They allow us to solve challenging exponential equations, and they are a good.

Logarithm Maths Study
Logarithm Maths Study

Web logarithms are the inverses of exponents. They allow us to solve challenging exponential equations, and they are a good.

They allow us to solve challenging exponential equations, and they are a good. Web logarithms are the inverses of exponents. They allow us to solve challenging exponential equations, and they are a good.