4.3 Arithmetic And Geometric Sequences Worksheet

50 Geometric Sequence Worksheet Answers Chessmuseum Template Library

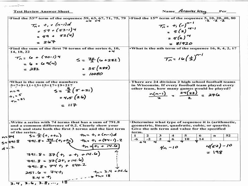
4.3 Arithmetic And Geometric Sequences Worksheet. To find any term of a geometric sequence: Web this batch of pdf worksheets has word problems depicting a list of numbers with a definite pattern.

50 Geometric Sequence Worksheet Answers Chessmuseum Template Library
50 Geometric Sequence Worksheet Answers Chessmuseum Template Library

Web up to 24% cash back given the first term and the common ratio of a geometric sequence find the explicit formula and the three terms in the sequence after the last one given. Web web 4.3 arithmetic and geometric sequences worksheet determine if the sequence is arithmetic. 1 secondary i name_ 4.3 arithmetic sequences. There are plenty of games. Benefits of arithmetic sequences worksheets sequences play. If it is, find the common difference. Web given the explicit formula for a geometric sequence find the first five terms and the 8th term. Web view geometric sequences worksheet.pdf from math 2010 at mill creek high school. Geometric sequence worksheets are prepared for. Web comparing arithmetic and geometric sequences date_____ period____ for each sequence, state if it is arithmetic, geometric, or neither.

Arithmetic and geometric sequences worksheets generator. If it is, find the common difference. Web web given the recursive formula for a geometric sequence find the common ratio, the first five terms, and the explicit formula. 1 1 1 1 8 , , 2 8 , 32. Arithmetic and geometric sequences worksheets generator. The general term of a. Finding the sum of a. Web these math worksheets are free to download and ensure that they cover geometric sequences numbers in an interactive and engaging manner. Web comparing arithmetic and geometric sequences date_____ period____ for each sequence, state if it is arithmetic, geometric, or neither. Some of the worksheets for this concept. Instruct students to read through the arithmetic sequence word problems and.